D. Diagramme de séquence « Gérer
inscription »

Figure 32 : Diagramme de séquence «
Gérer le consultation »
72
E. Diagramme de séquence « Gestion de
paiement frais »

Saisie informations de l'élève
Paiement effectuer
Saisie le frais
S'authentifier
Vérification de frais
Frais admis
Figure 33 : Diagramme de séquence «
Gérer le paiement de frais »
37 MUSANGU LUKA, Analyse et conception des
applications objets avec Le Processus Unifié, Kinshasa, Editions de
l'Université Protestante au Congo, Juillet 2017
73
2.2. Diagramme d'activité (DAC)
Les diagrammes d'activités permettent de mettre
l'accent sur les traitements. Ils sont donc particulièrement de flots de
contrôle et de flots de données. Ils permettent aussi de
représenter graphiquement le comportement d'une méthode ou le
déroulement d'un cas d'utilisation. Les diagrammes d'activités
sont relativement proches des diagrammes d'états
transition37.
Une action est le plus petit traitement qui puisse être
exprimé en UML. Une action a une incidence sur l'état du
système ou en extrait une information. Les actions sont des
étapes discrètes à partir desquelles se construisent les
comportements. La notion est à rapprocher de la notion d'instruction
élémentaire d'un langage de programmation (comme VB, C#,
Java...). Une action peut être par exemple :
· Une affectation de valeur à des attributs ;
· Un accès à la valeur d'une
propriété structurelle (attribut ou terminaison d'association)
;
· La création d'un nouvel objet ou lien ; - Un
calcul arithmétique ;
· L'émission d'un signal ;
· La réception d'un signal.
Nous décrivons ci-dessous les types d'actions les plus
courants prédéfinis dans la notation UML
· Action Appeler (call opération) :
Elle correspond à l'invocation d'une opération sur un
objet de manière synchrone. L'action est terminée et les
éventuelles valeurs de retour seront ignorées. Si l'appel est
synchrone, l'appelant est bloqué pendant l'exécution de
l'opération et, le cas échéant, les valeurs de retour
pouvant être réceptionnées ;
· Groupe d'activités (activités
group) : Un groupe d'activités est une activité
regroupant de noeud et des arcs, les noeuds et les arcs peuvent appartenir
à plus d'un groupe. Un diagramme d'activités est lui-même
un groupe d'activités.
· Noeud d'activité
Les concepts communs au diagramme d'Etat-transition
:
· Transition ;
· Noeud initial (état initial) ;
· Noeud final (état final) ;
· Noeud de fin flot (état de sortie) :
· Noeud de décision (choix).
NB : Le formalisme reste identique pour ces
noeuds de contrôle. Les concepts spécifiques au diagramme
d'activité sont :
74
· Noeud de bifurcation (permet à
partir d'un flot unique entrant de créer plusieurs flots concurrents en
sortie de la barre de synchronisation) ;
· Noeud de jonction (permet, à
partir de plusieurs flots concurrents en entrée de la synchronisation,
de produire un flot unique sortant ; Le noeud de jonction est le
symétrique du noeud de bifurcation),
· Noeud de fusion (permet d'avoir
plusieurs flots entrants possibles et un seul flot sortant. Le flot sortant est
donc exécuté dès qu'un des flots entrants est
activé) ;
· Pin d'entrée et de sortie ;
· Flot d'objet ;
· Partition.

Figure 34 : Représentation
graphique
Une action correspond à un traitement qui modifie
l'état du système. Cette action peut être
appréhendée soit à un niveau élémentaire
proche d'une instruction en termes de programmation soit à un niveau
plus global correspondant à une ou plusieurs opérations.
75
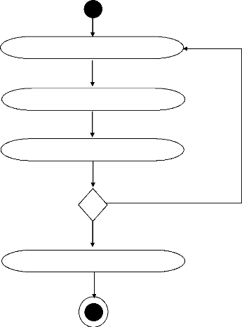
a. Diagramme d'activité «
Authentification »
Utilisateur

Accéder à l'interface d'authentification
Vérification des informations saisie
Page d'accueil de site
Accepter
Profil afficher
Invalide
Figure 35 : Diagramme d'activité «
Authentification »
Description : Ce diagramme d'activité de
l'authentification d'administration à partir du lancement de
l'application, premièrement, il authentifie et il fait la
vérification de données à la fin il valide.
76
|