WOW !! MUCH LOVE ! SO WORLD PEACE !
Fond bitcoin pour l'amélioration du site: 1memzGeKS7CB3ECNkzSn2qHwxU6NZoJ8o
  Dogecoin (tips/pourboires): DCLoo9Dd4qECqpMLurdgGnaoqbftj16Nvp


Home | Publier un mémoire | Une page au hasard

 > 

L'exception de copie privée face aux dispositifs techniques de protection des oeuvres

( Télécharger le fichier original )
par Marjorie PONTOISE
Université Lille II - Master 2 pro Droit du cyberespace (NTIC) 2005
  

précédent sommaire suivant

Bitcoin is a swarm of cyber hornets serving the goddess of wisdom, feeding on the fire of truth, exponentially growing ever smarter, faster, and stronger behind a wall of encrypted energy

Partie 2

LA RÉGULATION TECHNIQUE

DE LA COPIE PRIVÉE

PAR LES MESURES DE PROTECTION

La mesure technique de protection se définit comme « toute technologie, dispositif ou composant qui, dans le cadre normal de son fonctionnement, est destiné à empêcher ou à limiter, en ce qui concerne les oeuvres ou autres objets protégés, les actes non autorisés par le titulaire d'un droit d'auteur ou d'un droit voisin du droit d'auteur prévu par la loi. Les mesures techniques sont réputées efficaces lorsque l'utilisation d'une oeuvre protégée, ou celle d'un autre objet protégé, est contrôlée par les titulaires du droit grâce à l'application d'un code d'accès ou d'un procédé de protection, tel que le cryptage, le brouillage ou toute autre transformation de l'oeuvre ou de l'objet protégé ou d'un mécanisme de contrôle de copie qui atteint cet objectif de protection » (article 9-3 de la directive 2001/29/CE1). Quant à l'expression « dispositifs techniques », il faut entendre mesures techniques ainsi que systèmes d'information sur le régime des droits.

Les mesures techniques de protection et les systèmes numériques de gestion des droits (Digital Rights Management Systems) constituent un ensemble de protection en cours de développement rapide, du fait de la forte convergence d'intérêts économiques des acteurs industriels et culturels. « Cette convergence de la recherche et du déploiement des mesures techniques tends à se concentrer sur les techniques d'encodage, les interfaces et les outils de lecture, mais aussi les passerelles d'accès entre trois univers principaux : l'univers des supports physiques, l'univers de l'informatique ouvert aux réseaux eux-mêmes ouverts, l'univers de l'électronique grand public »127(*).

La directive 2001/29 prévoit qu'une protection juridique doit être assurée aux mesures techniques « appliquées volontairement par les titulaires de droit » sans faire parmi ces derniers d'exception ou de distinction. Il importe donc que les mesures techniques protégées ne puissent être mises en oeuvre à l'insu ou contre la volonté des auteurs en tant que titulaires primaires des droits.

Les mesures techniques de protection peuvent comporter non seulement une limitation du nombre de copies, mais également des obstacles, volontaires ou non, à l'accès aux oeuvres. Il semble donc légitime que les auteurs soient associés aux choix de telles mesures susceptibles de porter atteinte à leurs droits moraux ou patrimoniaux.

Lors du vote de la loi, le 21 mars 2006, l'Assemblée nationale a définitivement validé l'existence des mesures techniques de protection, définies comme étant : « les mesures techniques efficaces destinées à empêcher ou limiter les utilisations non autorisées par le titulaire d'un droit (...) ». Dans ce cadre, « efficaces » signifie que l'utilisation est contrôlée « grâce à l'application d'un code d'accès, d'un procédé de protection, tel que le cryptage, le brouillage ou toute autre transformation de l'objet de la protection, ou d'un mécanisme de contrôle de la copie qui atteint cet objectif de protection ». Nous retrouvons alors exactement les mêmes termes que ceux utilisés dans la directive européenne !

D'après le rapport établit par M. Chantepie il est précisé que « le déploiement de ces techniques devrait s'accélérer au cours des années présentes. Dans ce contexte, la mise en oeuvre de ces mesures semble moins dépendre de la robustesse des mesures et des systèmes, nécessairement relative aux cibles de sécurité assignées, que de l'acceptation par les utilisateurs, et notamment, ceux du domaine informatique, des limites techniques posées - artificiellement - à un environnement numérique - techniquement - ouvert et homogène, en fonction de leur transparence, de leur simplicité et finalement de leur faculté à rendre plus commodes les usages d'accès aux oeuvres.

C'est pourquoi, au-delà de « l'état de l'art » des mesures techniques de protection et du contrôle de la distribution de contenus numériques, de la robustesse relative de celles-ci, de l'appréciation du temps nécessaire à leur déploiement, les véritables enjeux des mesures techniques sont de nature juridique et sociale : ils ont affaire au champ de protection juridique de ces mesures techniques et aux conséquences pratiques qui en résulteront pour les utilisateurs, en fonction de la puissance de la convergence des intérêts industriels ».

Ces enjeux juridiques et sociaux se manifestent dans la faculté d'usage licite de l'environnement numérique et de l'accès aux contenus numériques. Ils dépendent pour beaucoup de l'intermédiation que vont effectuer les distributeurs, passerelle nécessaire entre les attentes des consommateurs, le monde de l'industrie des technologies de l'information et le monde de l'industrie culturelle. Toujours selon M. Chantepie, « cette intermédiation aura à vaincre des écueils et à participer à un défi en favorisant une concurrence attractive d'offres licites de contenus :

- réduire l'attraction pour les usages illicites des réseaux de distribution de contenus en pair à pair qui sont paradoxalement l'un des plus puissants facteurs d'accélération de la mise en oeuvre des mesures techniques et de contrôle d'accès ;

- faciliter l'intégration de l'ensemble de la chaîne de distribution de contenus numériques, notamment sur ses maillons faibles : la gestion numérique des droits, la facilité d'usage des utilisateurs ».

Sur le plan européen, une grande part des débats relatifs aux mesures techniques et aux DRM, a trait aux nouveaux équilibres que leur déploiement créé en ce qui concerne la copie privée. Il en ressort que le champ de l'exception pour copie privée, fondée historiquement sur une tolérance contingente à l'environnement technique, a subi une mutation très profonde. Ces mesures techniques de protection et les DRM permettent de fixer les conditions précises d'une ligne de partage entre copie numérique de contrefaçon et copie privée, et parvenir à l'exercice intégral des droits exclusifs des auteurs, des producteurs et des artistes et interprètes, d'autoriser ou d'interdire la reproduction des oeuvres, y compris les copies privées numériques.

Il semble que ces questions soient au centre d'une compétition internationale de grande ampleur entre différents secteurs industriels. Elle se joue avec un arrière-fond constitué par l'impact des réseaux peer-to-peer, utilisés à la fois comme moyen de développement (informatique, télécommunications), élément de blocage (industries culturelles) ou de prudence sur l'ouverture aux réseaux (électronique « grand public »), mais surtout levier de compétition et de négociation. Ces mesures techniques de protection et de contrôle des copies visent surtout à donner une traduction technique128(*) de l'exercice de copie privée des droits exclusifs des auteurs et de titulaires de droit voisin (chapitre 1).

Dès lors, on peut s'interroger sur la protection conférée aux droits d'auteur, ainsi que sur les exceptions classiques : ces règles sont-elles toujours adaptées aux utilisations nouvelles grâce aux moyens offerts par les technologies de l'information ? L'une des principales difficultés juridiques soulevée par les mesures de protection des oeuvres repose sur l'antagonisme qui pourrait exister entre les mesures destinées à lutter contre la contrefaçon et le piratage des oeuvres et celles qui pourraient empêcher les utilisateurs de faire jouer à leur profit les exceptions aux droits des auteurs en effectuant des copies de l'oeuvre à des fins privées ou en diffusant celle-ci dans le cercle de famille (chapitre 2).

Nous allons pouvoir constater que la technique sert le droit et préservant les intérêts des auteurs et ayants droits, mais en contrepartie cette technique peut nuire aux utilisateurs et les empêcher d'exercer leur prérogative d'exception de copie privée. Ces solutions offertes par la technique permettent de contrôler la circulation des oeuvres protégées. Les DRM apparaissent en effet comme un nouvel outil susceptible de protéger efficacement le droit d'auteur. C'est à ce titre que les mesures techniques de protection bouleversent l'environnement juridique jusque là accordé aux diverses parties en question : nous verrons jusqu'où est poussé le technicisme et quelles conséquences cela entraîne pour le public. Pour M. Bernault129(*) : « de manière paradoxale, la technique prétend désormais à la fois remettre en cause le droit d'auteur tel qu'il existe et fournir les moyens d'en assurer le respect ».

CHAPITRE 1. LA TECHNIQUE : UNE SOURCE DE RÉGULATION AU SERVICE DU DROIT

Les mesures techniques contrôlant l'accès aux oeuvres empêchent qu'une personne non autorisée puisse accéder à une oeuvre protégée par le droit d'auteur. Ces mesures peuvent être mises en oeuvre de différentes manières : procédure d'identification (utilisation de login, mots de passe) et/ou utilisation de moyens de cryptologie. Les mesures techniques contrôlant l'utilisation des oeuvres ont pour finalité d'empêcher toute copie illicite des oeuvres (atteinte au droit de reproduction) mais également la violation d'autres droits exclusifs du titulaire du droit d'auteur (droit de communication au public, droit de distribution).

Certaines mesures de protection combinent à la fois le contrôle de l'accès de l'utilisation des oeuvres. D'autres dispositifs, qui peuvent eux-mêmes s'ajouter aux précédents, fournissent des informations sur le régime des droits sur l'oeuvre, voire même assurent sa traçabilité ce qui permet, entre autre, d'agir à l'encontre des délinquants et de mettre en oeuvre les sanctions prévues (pénales et civiles). Les premières réponses techniques sont les suivantes : identification des oeuvres, identification de l'historique de celles-ci permettant à partir de leur reconnaissance de remonter aux titulaires des droits de manière telle qu'ils puissent être identifiés et donc sollicités pour toute autorisation nécessaire, identification des contrats auxquels ces oeuvres ont donné lieu, et les redevances à payer à l'auteur ou à ses ayants droits.

Depuis 1993, puis dans Le Livre vert de la commission européenne130(*), on peut lire que : « la numérisation permet l'identification, le tatouage, la protection et la gestion automatique des oeuvres et prestations pour autant qu'on introduise de tels systèmes. Il paraît nécessaire de mettre ces systèmes en place et prévoir leur acceptation au niveau international si l'on veut éviter que la Société de l'Information ne se fasse au détriment des ayants droits ».

La même idée est également évoquée dans le rapport américain du Groupe de travail sur les droits de propriété intellectuelle puisque d'importants développements étaient consacrés aux contrôles techniques, puis repris dans le Digital Millenium Copyright Act de 1998131(*).
Ainsi, de tels systèmes techniques d'identification et de suivi existent depuis plusieurs années.

De plus, certains procédés de tatouage numérique (watermarking) existent, chaque élément de programme contenant une information numérique que les récepteurs pourront lire et décoder en temps réel. La séquence peut, d'ailleurs, ne pas être seulement identificatrice mais être de nature à limiter tel ou tel usage, telle reproduction de l'oeuvre comportant le code ou encore de nature à interdire une reproduction recherchée à partir d'une première reproduction.

Juridiquement, ces procédés d'identification posent d'évidents problèmes de respect de la vie privée et de confidentialité (nous le verrons dans le chapitre 2); chacun sait aujourd'hui qu'un producteur de logiciel peut, en cas de connexion établie par réseau, pénétrer l'ordinateur de l'utilisateur et savoir tout ce qu'il a en mémoire. Sur le terrain des droits de propriété intellectuelle, la mise en place d'un dispositif tendant à les renforcer et à les contrôler poursuit un double objectif :


· identifier les oeuvres et pour les auteurs et ayants droits avec des sortes de « plaques minéralogiques » pour informer les utilisateurs ; ce qui contribue au respect du droit moral de l'auteur


· permettre la mise en oeuvre effective des droits intellectuels.

Il conviendra de proposer une classification des principaux dispositifs techniques à partir des pratiques existantes (section 1) : les mesures contrôlant l'accès, les mesures protégeant le contenu et les procédés d'information sur le régime des droits ; puis de voir comment ces dispositifs répondent à la nécessité de préserver les oeuvres d'usages qui pourraient être abusifs. Nous nous intéresserons à mesurer leur utilité pour la lutte contre la contrefaçon, et leur faculté à satisfaire le respect d'accords contractuels conclus par les titulaires de droits (section 2).

Section 1. ÉTUDE TECHNIQUE ET CRYPTOLOGIQUE DES DISPOSITIFS TECHNIQUES DE PROTECTION

Relevant le double défi d'une généralisation de la numérisation des modes de distribution et du développement du commerce électronique, les industries culturelles restent soucieuses d'assurer la protection des contenus. En réponse à leurs attentes, les mesures techniques de protection des oeuvres et les systèmes de gestion numérique des droits connaissent un développement technologique et économique rapide.

La collaboration entre les industries culturelles d'une part, celles de l'électronique, de l'informatique et des télécommunications d'autre part, se concentre sur la mise en oeuvre de protection technique des oeuvres qui s'exerce soit à partir du codage numérique des oeuvres numérisées (techniques de tatouage) soit à travers des techniques de cryptographie (qui concernent non seulement la protection technique d'accès aux oeuvres donc les modes de distribution sur supports optiques ou en réseaux, soit des mesures anti-copie).

Si les premières techniques ont d'abord semblé devoir constituer le coeur technologique de la protection des oeuvres (4), ce sont en réalité les secondes qui jouent un rôle déterminant. Les premières ayant trait directement à la numérisation des oeuvres qui par nature sont dans l'environnement technique de l'utilisateur, ont montré assez vite leurs limites en termes de protection, y compris pour la protection de la distribution des oeuvres.

Les techniques de cryptographie132(*), déjà utilisées dans le cadre de la distribution des contenus sur les réseaux sont, elles, au coeur technologique de la protection des oeuvres (2).

Si les composants des mesures techniques se distinguent théoriquement, on assiste de plus en plus souvent à des logiques combinatoires pour le développement des applications, en particulier pour la mise en oeuvre de systèmes numériques de gestion de droits (3). Il faut préciser que, par nature, les technologies de protection des oeuvres ne prétendent jamais parvenir à un niveau de protection totale, une robustesse absolue ou une inviolabilité générale. Elles tendent principalement à atteindre des niveaux de sécurité, à réduire l'intérêt et la facilité de contournement.

Avant d'aborder les aspects techniques des mesures de protection il n'est pas inutile de faire un petit rappel sur les principes de la cryptographie (1).

1. Rappel sur les principes de cryptographie

La cryptographie est la technique du secret des messages, développée originairement pour répondre à des besoins militaires mais dont les applications et les usages sont très largement répandus dans la société de l'information133(*), que ce soit pour la sécurité des transactions, la confidentialité des secrets industriels et commerciaux, la protection des contenus, etc.

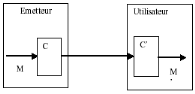
La cryptographie, est composée d'éléments susceptibles de constituer le maillon faible du système : elle consiste à chiffrer un message « M » avec un algorithme de chiffrement secret « C », pour aboutir à un message codé « M' » apparemment vide de sens. L'algorithme de chiffrement « C » doit être suffisamment compliqué pour que seul un utilisateur disposant de l'algorithme de déchiffrement également secret « C' » associé à « C » puisse alors déchiffrer le message « M' » pour retrouver le message initial « M ». Le message « M' » est donc sans intérêt pour un utilisateur ne disposant pas de l'algorithme « C' ». Il peut donc être librement diffusé sans risques.

SCHÉMA DU PRINCIPE DE CHIFFREMENT134(*)

Ce système a pour objet de protéger non seulement contre une rediffusion en clair du contenu par l'utilisateur (ce qui suppose que le déchiffrement chez l'utilisateur s'effectue d'une manière contrôlée) mais également contre une interception par un pirate extérieur (ce qui est en fait la fonction première du chiffrement). Cela explique que ce système soit systématiquement utilisé pour la télédiffusion à péage ou pour les réseaux de télécommunications notamment sur le réseau Internet, mais il peut également être utilisé dans d'autres contextes par exemple la distribution de contenus numériques sur supports optiques (cas du DVD vidéo)135(*).

* 127 Rapport n°2003-02-I, « Mesures techniques de protection des oeuvres et DRM », état des lieux établi par P. Chantepie (chargé de mission de l'Inspection Générale de l'Administration des Affaires Culturelles) en janvier 2003 : http://www.culture.gouv.fr/culture/cspla/Mptdrms.pdf

* 128 Le législateur communautaire a choisis de légiférer en des termes généraux afin de ne pas entraver la pérennité du régime de protection mis en place. Les article 6 et 7 de la directive définissent les mesures techniques de protection par leur but, sans se référer à une technologie ou à des modes de diffusions particuliers. Ce principe de neutralité technologique, respecté par l'ensemble des transpositions nationales, devrait faciliter l'adaptation du texte aux mutations techniques à venir et limiter ainsi les risques d'obsolescence.

* 129 C. Bernault, « La tentation d'une régulation technique du droit d'auteur », Revue Lamy Droit de l'Immatériel, avril 2006, n°15, p. 56 à 62

* 130 Les livres verts publiés par la Commission européenne offrent un éventail d'idées dans le but de lancer, à l'échelle européenne, une consultation et un débat sur une thématique précise. Les parties, organisations et individus intéressés par le sujet, sont invitées à exprimer par écrit leur avis sur les propositions émises, avant une date limite. Le but de la Commission est généralement d'initier un débat sur un thème pas encore abordé par les politiques européennes. Cette consultation peut parfois aboutir à l'édition d'un livre blanc ( http://www.europeplusnet.info/article529.html).

* 131 http://www.copyright.gov/legislation/dmca.pdf#search='Digital%20Millenium%20Copyright%20Act%20de%201998'

* 132 La cryptologie, étymologiquement « la science du secret », ne peut être vraiment considérée comme une science que depuis peu de temps. Cette science englobe la cryptographie -- l'écriture secrète -- et la cryptanalyse -- l'analyse de cette dernière. On peut dire que la cryptologie est un art ancien et une science nouvelle : un art ancien car Jules César l'utilisait déjà ; une science nouvelle parce que ce n'est que depuis les années 1970 que c'est un thème de recherche scientifique académique.

* 133 La société de l'information désigne une société dans laquelle les technologies de l'information jouent un rôle central. Le portail de la société de l'information : http://www.internet.gouv.fr/

* 134 Schéma et explications proviennent du rapport 2003-02 du ministère de la Culture

* 135 http://fr.wikipedia.org/wiki/Chiffrement

précédent sommaire suivant






Extinction Rebellion







Changeons ce systeme injuste, Soyez votre propre syndic



"L'ignorant affirme, le savant doute, le sage réfléchit"   Aristote